
Domaći sirup od piva rešava kašalj preko noći Svi znamo da nema ništa bez bakinih narodnih „lekova“. Ovo je jedan takav. Ukus je neočekivano dobar, a...

Psi znaju kada ih neko prevari i pamte ljude koji su to učinili Dokazano je da psi mogu pozitivno da utiču na svoje vlasnike, a jedno...

Biti roditelj nije lako; upravo suprotno – ovo je jedan od najizazovnijih zadataka u životu u svetlu činjenice da su upravo otac i majka osnovne figure...

Čak i ako ne znate naučnu definiciju mladeža, svi smo ih videli, bilo na sebi ili na nekom drugom. Mladež je grupa ćelija kože (poznata i kao...

Popularna prezimena u Srbiji za koja nismo znali da u osnovi imaju tursko poreklo i značenje Mnoga prezimena su nam u amanet ostavljena za vreme okupacije...

„Dogodiće se kraj sveta. Zemlja će se okrenuti od Sunca. Led će se pojaviti. Životinje će umreti“. Ovaj strašni scenario najavila je čuvena proročica Baba Vanga...

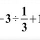
Autori zadatka kažu da 40% japanskih inžinjera neće uspeti da reše ovaj matematički zadatak… View this post on Instagram A post shared by Negan Smith (@negan.feels)...

Godina 2025. nosi energiju broja 9 koji simbolizuje završetak, mudrost i duhovni rast. Ovo je vreme da završite stare projekte, napustite prošlost i napravite mesta za nove...

Aprilska kiša je blagoslov, majska je još bolja April je mesec, koji je pored toga što je u znaku uskršnjeg posta, poseban zato što su naši...

Za patrijarhom Pavlom ostale su mudre reči kojima koje nam pomažu kroz život kada je najteže. Patrijarh Pavle ušao je u istoriju srpskih patrijarha kao jedan...